
- 06Jun
- HelioEsfera
22
Dependencia de la temperatura y la irradiancia sobre el módulo fotovoltaico
En la parte trasera de un módulo fotovoltaico o en su ficha técnica, podemos comprobar que los principales parámetros eléctricos vienen determinado por lo que se denomina “condiciones estándares de medida (STC – standard test condictions)”, que son:
- 1000 W/m2 de irradiancia incidente.
- 25ºC de temperatura de la célula.
- Masa de aire 1.5 (AM1.5) del espectro.
Esto es así para que podamos comparar módulos sabiendo que todos han sido ensayados bajo las mismas condiciones, ya que no tendría sentido comparar la potencia de dos módulos de fabricantes distintos bajo niveles de irradiancia (por ejemplo) diferentes. Es por ello que se establecen estas condiciones para hacer los ensayos de los módulos fotovoltaicos.

Sin embargo, estas condiciones no son representativas de las condiciones reales de funcionamiento del módulo en una instalación, ya que 1000 W/m2 es un nivel alto de radiación difícil de alcanzar, y la temperatura de las células es bastante superior a los 25 ºC de la STC . Los test que determinan las características eléctricas de los módulos se realizan mediante el denominado “flash test” que al ser durante un momento, no incrementa la temperatura de las células. En una instalación real, los paneles están expuestos directamente al sol durante practicamente todo el día, esto hace que la temperatura de las células sea significativamente superior a la temperatura ambiente.
Para saber la temperatura de las células en una instalación podemos emplear la siguiente ecuación (depende de la temperatura ambiente en ºC y el nivel de radiación en w/m2):
- Tc: Temperatura de las células en ºC.
- Ta: Temperatura ambiente en ºC.
- G: Irradiancia solar en W/m2.
- TONC: Temperatura de operación nominal de la célula. Es un parámetro que nos facilita el fabricante.
Por esto, los cálculos son mas realistas si tomamos un valor de radiación de 800 W/m2 y la temperatura de las células unos 25 ºC por encima de la temperatura ambiente.
Es evidente, que la potencia entregada por el panel irá variando a medida que varía la radiación solar y la temperatura (otras variables también influyen pero afectan en menor medida), pero, ¿sabemos como afectan estas dos variables al comportamiento del panel?
A continuación, veremos el comportamiento por separado el comportamiento de la temperatura, de la irradiancia, y de las dos juntas.
VARIACIÓN DE LA TEMPERATURA (MANTENIENDO LA IRRADIANCIA CONSTANTE)
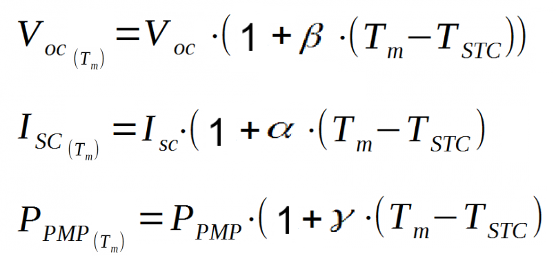
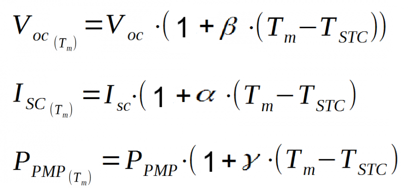
La variación de los parámetros eléctricos con la temperatura viene indicada por los coeficientes de temperatura proporcionado por el fabricante en la ficha técnica.
- α: Coeficiente de temperatura de Intensidad
- β: Coeficiente de temperatura de Tensión
- γ: Coeficiente de temperatura de Potencia

Como podemos observar en las fichas de cualquier fabricante los coeficientes de temperatura en la tensión y la potencia son negativos, mientras que el de la intensidad es positivo, esto significa (y podemos comprobarlos con las expresiones matemáticas siguientes) que al aumentar la temperatura, la tensión y la potencia disminuyen, mientras que la intensidad aumenta. Sin embargo el aumento de la intensidad es casi despreciable frente a la reducción del valor de la tensión, de ahí que el resultado global sea que la potencia de un panel fotovoltaico (P=V x I) disminuye al aumentar temperatura.
Las fórmulas para obtener los valores de tensión, intensidad y potencia a diferentes temperaturas son las siguientes:
- Voc(Tm): Tensión a circuito abierto a una temperatura Tm.
- Isc(Tm): Intensidad de cortocircuito a una temperatura Tm.
- Ppmp(Tm): Potencia en el punto de máxima potencia a una temperatura Tm.
- Tstc: Temperatura en condiciones estándares de medida (25ºC)
- Tm: Temperatura del módulo.
En la siguiente gráfica podemos ver en color rojo la curva característica del panel a una temperatura superior (pero misma radiación). 
Por lo tanto podemos concluir que la eficiencia o rendimiento del módulo es inferior cuando aumenta la temperatura.
VARIACIÓN DE LA RADIACIÓN (MANTENIENDO LA TEMPERATURA CONSTANTE)
En este caso el análisis es algo más complejo ya que los fabricantes no suelen aportar mucha información para conocer el comportamiento del panel con diferentes niveles de radiación.
Para obtener esto, nos vamos a basar en tres puntos:
- La tensión a circuito abierto (Voc) disminuye logarítmica al disminuir la radiación:
- La intensidad de cortocircuito (Isc) disminuye linealmente al disminuir la radiación.
- El factor de forma (FF) es constante, no depende de la radiación incidente.
Las fórmulas para obtener los parámetros de tensión, intensidad y potencia a diferentes niveles de radiación son las siguientes (Gm = Irradiancia sobre el módulo en W/m2):
- Voc(Gm): Tensión a circuito abierto a un nivel de irradiancia Gm.
- Isc(Gm): Intensidad de cortocircuito a un nivel de irradiancia Gm.
- Ppmp(Gm): Potencia en el punto de máxima potencia a un nivel de irradiancia Gm.
- Gstc: Irrandiancia en condiciones estándares de medida (1000 W/m2)
- Gm: Irrandiancia sobre el módulo.
- n: factor de idealidad de la célula (adopta valores de 1,2 o 1,3 aproximadamente en células de silicio cristalino)
- Kb: Constante de Boltzman (Kb:1.381·10-23 J/K)
- q: carga del electrón (q=1.602·10-19 C)
En la siguiente gráfica podemos ver en color azul la curva característica del panel a un nivel de irradiancia superior (pero misma temperatura).
En esta web puede calcular los parámetros eléctricos de cualquier módulo fotovoltaico a diferentes temperaturas.
VARIACIÓN DE LA RADIACIÓN Y LA TEMPERATURA
Por último, cuando estudiamos el efecto de la temperatura y la radiación de forma conjunta, el resultado es una ecuación que es función de un factor “K” que depende de la tecnología empleada.
La potencia de salida del panel en cada momento vendrá dada por la siguiente expresión:
- η: Rendimiento del módulo
- Gm: Irrandiancia sobre el módulo (W/m2).
- A: Área del módulo (m2)
¿Te ha parecido interesante este artículo?
Fuente: Study of Temperature Coefficients for Parameters of Photovoltaic Cells
Comparte esto:
- Haz clic para compartir en WhatsApp (Se abre en una ventana nueva) WhatsApp
- Haz clic para compartir en Telegram (Se abre en una ventana nueva) Telegram
- Haz clic para compartir en X (Se abre en una ventana nueva) X
- Haz clic para compartir en LinkedIn (Se abre en una ventana nueva) LinkedIn
- Haz clic para compartir en Facebook (Se abre en una ventana nueva) Facebook
- Haz clic para compartir en Pinterest (Se abre en una ventana nueva) Pinterest
- Haz clic para imprimir (Se abre en una ventana nueva) Imprimir





22 Comments
Adrian Ene 1, 2021
Hola!
Un artículo muy interesante!! Me pregunto qué son los términos n, kb y q en la formula de la Voc y de donde sacar el FF, para calcular el valor de la radiación. Me parecen unas fórmulas interesantes para poder conocer los datos de radiación y posteriormente generación de un panel en función de una radiación más precisa, ya que como bien comentas, casi nunca tenemos los 1000W/m2.
Un saludo!!
admin Ene 1, 2021
Buenas Adrián, te lo indico aquí (aunque los he incluido en el post)
n: factor de idealidad del diodo (adopta valores de 1,2 o 1,3 en células de silicio cristalino)
Kb: Constante de Boltzman (Kb:1.381·10-23 J/K)
q: carga del electrón (q=1.602·10-19 C).
Gracias
Raul Abr 4, 2021
Realmente interesante, muchas gracias. Me queda la duda de la última fórmula, ¿qué es la “A”?
HelioEsfera Abr 4, 2021
Buenas Raul, gracias por tu comentario. La A que mencionas, es el área del módulo en m2. Ya está incluido en el artículo para todos los lectores. Gracias.
Sil Abr 4, 2021
Un artículo muy interesante, pero ¿a qué se refiere con el rendimiento(25ºC,Gm)? Es el rendimiento que te da el fabricante o hay que calcularlo de alguna forma?
HelioEsfera May 5, 2021
Buenas Sil, se trata del rendimiento del módulo a 25ºC y las condiciones de irradiancia que estés calculando.
luis eduardo mora May 5, 2021
hola muy buenas noches, estaba leyendo el articulo y me es de gran ayuda para el desarrollo de la tesis en la q estoy, quisiera q me sacara de una duda, la formula para calcula la eficiencia a diferentes temperaturas y radiacion existe una variable “k” la cual no se a q hace referencia, me podria colaborar con esa informacion? de igual manera al principio de la formula aparece n(25°c,Gm) esa varaible hace referencia a la eficiencia hallada a temperatura constante y radiacion variable?. agradezco inmensamente su colaboracion.
HelioEsfera May 5, 2021
El valor de K es un dato medio experimental, lo puedes encontrar en algunos artículos técnicos que estudian el comportamiento de la célula fotovoltaica. Efectivamente, n(25ºC,Gm) es la eficiencia a 25ºC y el nivel de radiación al que quieras hacer los cálculos.
Laura María Caño Jimena May 5, 2021
Buenas, ¿de dónde puedo sacar dicha eficiencia? En la hoja técnica del panel solar no sale nada.
HelioEsfera May 5, 2021
Buenas Laura, la eficiencia del panel la puedes encontrar en la ficha técnica, entre los datos eléctricos. También puedes calcularla dividiendo la potencia poco entre el producto de la superficie del panel por los 1000 W/m2 si lo quieres en STC. De esa forma el cociente será adimensional, al dividir W/W.
Ivan Principi May 5, 2021
Hola, podrías pasarme la fuente de donde sacas la formula de la dependencia logarítmica de la tensión oc con respecto a la irradiancia? Estoy por defender mi tesis y este dato ya se me fue cuestionado pero solo encontré en tu pagina la explicación a este fenómeno.
Muchas gracias
HelioEsfera May 5, 2021
Buenas Ivan, te paso algunos enlaces donde puedes obtener esa información:
https://lbt.usal.es/wp-content/uploads/2015/12/TFM.pdf (en la pag 34, puedes encontrar todo el desarrollo en la bibliografía de ese documento)
https://www.pveducation.org/es/fotovoltaica/4-operaci%C3%B3n-de-c%C3%A9lula-solar/efecto-de-la-temperatura (aquí también puedes encontrar información útil)
Un saludo y suerte con la tesis.
luis eduardo mora May 5, 2021
amigo, necesito profundizar mas acerca de las formulas q ud indica, me podria decir como y por medio de donde llego a esas formulas?, se lo agradezco inmensamente
HelioEsfera May 5, 2021
Buenas Luis Eduardo, le paso algunos enlaces donde puedes obtener esa información:
https://www.pveducation.org/es/fotovoltaica/4-operaci%C3%B3n-de-c%C3%A9lula-solar/efecto-de-la-temperatura
https://ntnuopen.ntnu.no/ntnu-xmlui/bitstream/handle/11250/257364/566421_FULLTEXT01.pdf?sequence=1&isAllowed=y (pag 22)
file:///home/usuario/Descargas/componente45310.pdf (a partir de la pag 6, puedes encontrar mas información en la bibliografía que se indica al final del documento)
Un saludo y espero que le sirva de ayuda.
Raúl Aravena Feb 2, 2022
hola, las fórmulas anteriores ¿cuál es su fuente o de qué estudio, norma o libro son?
saludos y muy buen análisis
HelioEsfera Abr 4, 2022
Buenas Raúl, gracias por tu interés, las fórmulas las puedes encontrar en cualquier bibliografía técnica sobre fotovoltaica, te dejo el enlace a un artículo técnico donde se explica con bastante detalle: https://www.researchgate.net/publication/324157058_Study_of_Temperature_Coefficients_for_Parameters_of_Photovoltaic_Cells/fulltext/5ac25671aca27222c75ce45e/Study-of-Temperature-Coefficients-for-Parameters-of-Photovoltaic-Cells.pdf
Aquí puedes comprobar todos los parámetros a diferentes temperaturas: http://www.pv4.eu/temperature-coefficient-for-photovoltaic-moules-online-calculator_783.html
Jose Manuel Ago 8, 2022
Hola,
en la pare superior de la pagina se indica:
(STC – standard test condictions)», que son:
.- 1000 W/m2 de irradiancia incidente.
.- 25ºC de temperatura de ambiente.
Esto es una errata, 25ºC es la temperatura de la célula fotovoltaica, no del ambiente
HelioEsfera Ago 8, 2022
Buenas Jose Manuel, gracias por la aportación, efectivamente se trata de la temperatura de la célula y no del ambiente. Lo corregimos. Un saludo.
Jose Manuel Ago 8, 2022
Gracias a vosotros por vuestro trabajo
Miguel Oct 10, 2022
muy buen post, me surge una duda, cuando calculas el rendimiento del modulo para Tm y Gm, el coeficiente k(Tm – 25°C) da a entender que depende de la temperatura, sin embargo en la siguiente línea das unos valores aproximados. Eso me genera confusión en cuando a si debo calcularlo de alguna forma o únicamente utilizar el aproximado.
MaríaIDi Nov 11, 2022
Buenos días, estoy trabajando con células orgánicas y no consigo encontrar algún estudio en el que se haya calculado, experimental o teóricamente, los coeficientes de temperatura de tensión, intensidad y potencia (alpha, betta y gamma) para este tipo de células. ¿Sabrías decirme si conoces algún estudio o, en caso de que aún no se haya estudiado, a que coeficientes se parecerían más? ¿Quizás a la tecnología a-Si? Muchas gracias.
Clever Ene 1, 2023
Hola!
Gracias por el articulo.
Una consulta el parámetro “T” que aparece en el segundo termino de la ecuación para hallar Voc
en el subtitulo de VARIACIÓN DE LA RADIACIÓN (MANTENIENDO LA TEMPERATURA CONSTANTE)
corresponde a?
No lo comenta, muchas gracias por la ayuda.